предплечье
вторник, 22 января 2013 г.
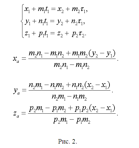
уравнение точка пренадлежит треугольнику
уравнение точка пренадлежит треугольнику
Комментариев нет:
Отправить комментарий
Следующее
Предыдущее
Главная страница
Подписаться на:
Комментарии к сообщению (Atom)
Комментариев нет:
Отправить комментарий